自動化立體庫設計核心技術細節
自動化立體倉庫的設計
(一)設計的準備工作
(二)自動化立體倉庫的總體規劃
(三)自動化立體倉庫計算

(一)設計的準備工作
—— 系統調查及需求分析
1.立體倉庫是企業物流系統的子系統,必須要了解企業整個物流系統對子系統的要求和物流系統總體設計的布置圖,以便對倉儲的子系統進行總體設計。要調查過去進、出庫房或料場物品的種類、數量及規律,以便預測未來,進行倉庫容量的計算和分析。
2.立體倉庫是機械、結構、電氣、土建等多專業的工程,這些專業在立體倉庫的總體設計中互相交叉,互相制約。因此,在設計時對各專業必須兼顧,例如,機械的運動精度要根據結構制作精度和土建的沉降精度而選定。
3.要了解企業對倉儲系統的投資、人員配置等計劃,以確定倉儲系統的規模和機械化、自動化的程度。
4.調查庫內儲存的貨物的品名,特征(例如易碎、怕光、怕潮等),外形及尺寸,單件重量,平均庫存量,最大庫存量,每日進、出庫數量,入庫和出庫頻率等。
5.了解建庫現場條件,包括氣象、地形、地質條件、地面承載能力、風及雪載荷,地震情況以及其他環境影響。
6.調查了解與倉儲系統有關的其他方面條件。例如,入庫貨物的來源,連結庫場交通情況,進、出庫門的數目,包裝形式,搬運方法,出庫貨物的去向和運輸工具等。
(二)自動化立體倉庫的總體規劃
1 庫場的選擇與規劃
2 倉庫形式和作業方式
3 貨物單元的形式和貨格尺寸設計
4 確定庫存量和倉庫總體尺寸
5 出、入庫搬運周期及出、入庫能力驗算
6 自動化立體倉庫的布置
7 自動化立體倉庫的控制方式和管理方式

1 庫場的選擇與規劃
倉庫和料場的選擇和布置對倉儲系統的基建投資、物流費用、生產管理、勞動條件、環境保護等都有著重要意義,這是首先要考慮的。其主要任務是確定庫場各部分的相互幾何位置關系,畫出平面布置圖。



2 倉庫形式和作業方式
在調查分析入庫貨物品種的基礎上,確定倉庫形式:
1、品種單一或品種較少單元貨格式倉庫
2、批量較大:重力式貨架倉庫或貫通式倉庫
3、特殊要求的貨物:冷藏、防潮、恒溫倉庫
4、根據出庫工藝要求決定是否采用揀選作業:整單元出庫為主/零星貨物出庫為主
5、少采用單作業方式,盡量采用復合作業方式
3 貨物單元的形式和貨格尺寸設計
立體倉庫是以單元化搬運為前提的,貨物單元形式、尺寸和重量的確定不僅影響倉庫的投資,而且對于整個物流和倉儲系統的配備、設施以及有關因素都有極大的影響。
抓住所有入庫貨物流通中的關鍵環節,根據調查和統計結果,列出所有可能的貨物單元形式和規格,選擇最為經濟合理的方案。
對于少數形狀和尺寸比較特殊以及很重的貨物,可以單獨處理。貨物單元盡量采用標準推薦的尺寸,以便于與其它物料搬運和運輸機具相匹配。 貨格尺寸取決于在貨物單元四周需留出的凈空尺寸和貨架構件的尺寸。
4 確定庫存量和倉庫總體尺寸
庫存量:同一時間內儲存在倉庫內的貨物單元數,根據歷史進出倉庫和貨場的數量和規律,通過預測技術來確定庫存量。
倉庫內采用存儲和搬運機械的數量取決于倉庫的最大出/入庫頻率。
倉庫高度:不宜設計得過高,以10~20米為宜,長、寬、高之間沒有確定的比例關系。設庫存量為N個貨物單元,巷道數為A,貨架高度方向可設B層,則每一排貨架在水平方向應具有列數D為:
D=N/2AB
根據每排貨架的列數D及貨格橫向尺寸可確定貨架總長度L。
已知貨架總長度L,又知倉庫的寬度和高度,再根據實際需要,考慮辦公室、操縱控制室、搬運機械的轉彎以及其他輔助設施等,就可以確定倉庫的總體尺寸了。

在確定倉庫總體尺寸和貨架結構尺寸的同時、還要參照國內外倉庫和倉儲機械設計標準,遵照執行。 請加微信公眾號:工業智能化(robotinfo) 馬云都在關注
5 出入庫搬運周期及出入庫能力驗算
立體倉庫的出、入庫搬運周期,一般講,主要取決于巷道堆垛起重機的作業循環時間。
6 自動化立體倉庫的布置
1)高層貨架區和作業區的銜接方式
(1)叉車-出入庫臺方式
(2)自動導引小車-出入庫臺方式
(3)自動導引小車-輸送機方式
(4)叉車(或升降機)-連續輸送機方式
2)貨物單元出、入高層貨架的形式
(1)貫通式
(2)同端出入式
(3)旁流式
叉車-出入庫臺方式

自動導引小車-出入庫臺方式

自動導引小車-輸送機方式

叉車(或升降機)-連續輸送機方式
適應情形:出入庫頻率高或要求每天按照品種、數量和時間有計劃地發貨
堆垛機是一種間隙作業機械,需要設置若干臺堆垛機
叉車和升降機也是間隙作業機械
為了解決堆垛機、叉車、升降機與連續輸送機之間的協調工作節拍問題,通常使連續輸送機具有積放功能。
(三)自動化立體倉庫計算
主要內容是對已有的自動化立體倉庫面積、通過能力和配備人員、機械設備的計算。
★1. 立體倉庫面積和通過能力計算
方法一:

式中:
S——立體倉庫所需總面積,單位為平方米;
a——立體庫面積利用率,為堆貨面積與總面積之比;
mQ—立體倉庫貨物的堆存量,單位為噸;
q——立體庫單位面積上的貨物堆存量,單位為噸/平方米。

E——通過立體庫的月最大貨物存取量,單位為噸;
K——設計最大入庫百分數;
30——每月30天計;
t——貨物在立體庫中平均庫存期(天),根據統計的各種貨物歷年平均庫存周期分析確定。
q的計算公式:

H——貨物的堆放高度,按照裝卸工藝要求確定,單位米;
r——立體庫單位體積上的貨物堆存量,噸/立方米
方法二:

式中:
f1——存放貨物有效存放面積,平方米
f2——入庫驗貨場地面積,平方米,根據貨物種類、驗收和發貨的具體要求及設施確定。
f3——出庫發貨場地面積,平方米
f4——通道(人行道、車行道)面積, 平方米,根據倉庫的布置確定,取決于貨物和運輸工具的外形尺寸。
★2. 立體倉庫通過能力計算

月通過量 / 平均庫存周期
b--立體倉庫貨物的月不平衡系數,該系數與貨運量、貨源、運輸工具的銜接、水文氣象及生產管理因素有關。參照同類倉庫正常情況下不少于連續三年的統計資料來分析確定。運量越大,不平衡系數越小。
月不平衡系數b=最大月通過能力(吞吐量)/月平均通過能力
★3. 堆垛機作業循環時間
(1)平均單一作業循環時間

式中:
j——貨架列數,1~m
k——貨架層數,1~n
tjk——單程移動時間,從該入庫站開始到j列k層單程移動時間,秒
tf——叉貨時間,在出入庫站或貨格處,貨物移動時間,秒
ti——停機時間,控制延遲時間秒
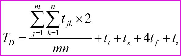
(2)平均復合作業時間

式中:
tt——平均貨格間移動時間,隨機確定入庫貨格和出庫貨格,作適當次數貨格間移動求得所需時間的平均值,秒(從入庫貨格到出庫貨格的時間)
ts——出入庫站間移動時間,入庫站和出庫站位置不同時的站間移動時間,秒
★4. 堆垛機基準出入庫能力
(1)平均單一作業循環時間的基準出入庫能力

(2)平均復合作業循環時間的基準出入庫能力

★5. 倉庫機械及人員數量計算
一般情況下,立體倉庫的裝卸機械數量,應在同一調配原則下,根據物流工藝流程按下式計算:

式中:
N——裝卸機械數量,單位為臺;
Ei——倉庫為完成月最大吞吐量,要求各類機械分別完成的操作量,單位為噸;
d——機械利用率,為機械工作臺時占日歷臺時的百分比,一班制取0.15-0.20;兩班制取0.30-0.35;三班制取0.40-0.50。電動機械取大值,內燃機械取小值;
k——倉庫內用于裝卸存取的機械設備種類數。
Ti ——第i種機械設備單位時間操作量,單位為噸/小時
下一篇:自動化立體倉庫建設需要注意什么
